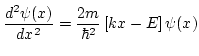
This is an example of the time independent Schrodinger equation with a ramp potential, . Substituing this potential into the S.E. gives